《自动控制理论I》模拟试题1
班级 学号 姓名 成绩
一、填空题(每空 1 分,共20分)
1、对自动控制系统的基本要求可以概括为三个方面,即: 、快速性和 。
2、控制系统的 称为传递函数。一阶系统传函标准形式是 ,二阶系统传函标准形式是 。
3、在经典控制理论中,可采用 、根轨迹法或 等方法判断线性控制系统稳定性。
4、控制系统的数学模型,取决于系统 和 , 与外作用及初始条件无关。
5、线性系统的对数幅频特性,纵坐标取值为 ,横坐标为 。
6、奈奎斯特稳定判据中,Z = P - R ,其中P是指 ,Z是指 ,R指 。
7、在二阶系统的单位阶跃响应图中,
定义为 。
是 。
8、PI控制规律的时域表达式是 。P I D 控制规律的传递函数表达式是 。
9、设系统的开环传递函数为
,则其开环幅频特性为 ,相频特性为 。
二、判断选择题(有且仅有一个答案正确,每题2分,共 16分)
1、关于线性系统稳态误差,正确的说法是:( )
A、 一型系统在跟踪斜坡输入信号时无误差 ;
B、 稳态误差计算的通用公式是
;
C、 增大系统开环增益K可以减小稳态误差;
D、 增加积分环节可以消除稳态误差,而且不会影响系统稳定性。
2、适合应用传递函数描述的系统是 ( )。
A、单输入,单输出的线性定常系统;
B、单输入,单输出的线性时变系统;
C、单输入,单输出的定常系统;
D、非线性系统。
3、若某负反馈控制系统的开环传递函数为
,则该系统的闭环特征方程为 ( )。
A、
B、
C、
D、与是否为单位反馈系统有关
4、非单位负反馈系统,其前向通道传递函数为G(S),反馈通道传递函数为H(S),当输入信号为R(S),则从输入端定义的误差E(S)为 ( )
A、
B 、 ![]()
C 、
D、
5、关于传递函数,错误的说法是 ( )
A 传递函数只适用于线性定常系统;
B 传递函数不仅取决于系统的结构参数,给定输入和扰动对传递函数也有影响;
C 传递函数一般是为复变量s的真分式;
D 闭环传递函数的极点决定了系统的稳定性。
6、闭环系统的动态性能主要取决于开环对数幅频特性的:
A、低频段 B、开环增益 C、高频段 D、中频段
7、已知单位反馈系统的开环传递函数为
,当输入信号是
时,系统的稳态误差是( )
A、 0 ; B、 ∞ ; C、 10 ; D、 20
8、关于系统零极点位置对系统性能的影响,下列观点中正确的是( )
A 、 如果闭环极点全部位于S左半平面,则系统一定是稳定的。稳定性与闭环零点位置无关;
B、 如果闭环系统无零点,且闭环极点均为负实数极点,则时间响应一定是衰减振荡的;
C 、 超调量仅取决于闭环复数主导极点的衰减率,与其它零极点位置无关;
D、 如果系统有开环极点处于S右半平面,则系统不稳定。
三、(15分)试建立如图所示电路的动态微分方程,并求传递函数。

四、(14 分)系统方框图如图所示,要求超调量σ% = 16.3%,峰值时间t p = 1秒,求放大器放大倍数K 和反馈校正微分时间常数τ。

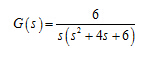
五、(20 分)单位负反馈系统的开环传递函数为:
试求出开环零极点,根轨迹的条数,渐近线方程,绘出闭环系统的根轨迹并指出系统的稳定性。
六、(15分)某单位反馈系统的开环传递函数为 
(1)计算系统的穿越频率和相角裕度。
(2)串联传递函数为
的超前校正装置,求校正后系统的穿越频率和相角裕度。
(3)试说明串联超前校正的作用。
《自动控制理论I》模拟试题1答案
一、填空题
1、稳定性(或:稳,平稳性);准确性(或:稳态精度,精度)
2、输出拉氏变换与输入拉氏变换在零初始条件下的比值;
;
(或:
)
3、劳斯判据(或:时域分析法); 奈奎斯特判据(或:频域分析法)
4、结构; 参数
5、
(或:
);
(或:
按对数分度)
6、开环传函中具有正实部的极点的个数,(或:右半S平面的开环极点个数);
闭环传函中具有正实部的极点的个数(或:右半S平面的闭环极点个数,不稳定的根的个数);奈氏曲线逆时针方向包围 (-1, j0 )整圈数。
7、系统响应到达并保持在终值
误差内所需的最短时间(或:调整时间,调节时间);响应的最大偏移量
与终值
的差与
的比的百分数。(或:
,超调)
8、
(或:
) ;
(或:
)
9、
;
二、判断选择题
1、C 2、A 3、B 4、D 5、B 6、D 7、D 8、A
三、
可得其传递函数为

四、

![]()

![]()
五、 无开环零点,3个开环极点,根轨迹的条数为3。

六、
解:(1)
rad/s,
。
(2)
rad/s,
。
|
|
|
![]() |
![]() |